What Is The Definition Of Drilling Mud Pump Output?
The rig pump output is the output of the drilling mud pumps, which can be expressed normally in gallons per stroke, bbls per stroke, or m3 per stroke. This term is a very important figure which is necessary to be known as it is important for many other calculations and formulas on any drilling rig such as pipe washout depths, bottom upstrokes, tracking drilling fluid, and many more
In this article, we will understand how to perform mud pump output for triplex mud pumps and duplex mud pumps.
Article Objective:
- Well Blowout
- Jar Intensifier
- Landing Nipple In Well Completion
- Well Control On Rigs: 15 – Checks & Tests
- Snubbing Units In Oil & Gas Field
- 2 Methods For For Triplex Pumps.
- 2 Methods For Mud Pump Output Formula & Calculations For Duplex Pumps.
- Example on how to calculate mud pump output for duplex pump.
- Example on how to calculate mud pump output for triplex pump.
- Method III Hydraulic Slide Rule and Pump Performance Charts.
- Mud Pump Output Calculators.
Mud Pump Output Formula & Calculations For Triplex Pumps
What is The Triplex Mud Pump?
A positive-displacement reciprocating pump is equipped with three plungers. Triplex pumps are the most known configuration of pumps used in any drilling and workover operations. Triplex mud pumps used in drilling or workover operations generally are able to handle a wide range of mud and completion fluids types, including corrosive fluids, abrasive fluids, and slurries which include relatively large particulates.
Method I: What is The Mud Pump Output Formula & What Is The Mud Pump Output Calculations?

A schematic diagram for a triplex pump is given in Figure 1. The piston discharges in only one direction, and so the rod diameter does not affect the pump output. The discharge volume for one pump revolution is:

Again the mud pump output formula is found by multiplying by the pump speed:

where,
- “Q” = flow rate (gpm)
- “L” = stroke length (in.)
- “d” = liner diameter (in.)
- “R”= pump speed (spm)
Method II (quick & easy): What is The Mud Pump Output Formula & What Is The Mud Pump Output Calculations?
Triplex Pump Output = 0.000243 × (Liner Diameter )^2 × (Stroke Length)
Example on how to calculate mud pump output for triplex pump:
Determine the mud pump output in bbl/stk at 98% and 95% efficiency
Liner size = 6 inch – Stroke length = 12 inch
Triplex mud pump output @ 98% efficiency
- Triplex mud pump output @ 98% = 0.000243 × 62 × 12 x 0.98
- Triplex mud pump output @ 98% = 0.10287 bbl/stk
Triplex mud pump output @ 95% efficiency
Triplex mud pump output @ 95% = 0.104976 × 0.95 bbl/stk
Triplex mud pump output @ 95% = 0.09972 bbl/stk
Mud Pump Output Formula & Calculations For Duplex Pumps
What is The Duplex Mud Pump?
The duplex mud pump is actually a sort of fluid pump, which is usually utilized on workover rigs, this type of duplex mud pump has two plungers or pistons. As a positive-reciprocating pump, the drilling mud rate of flow is essentially evaluated from the number of strokes per minute that the pump makes and therefore the displacement volume per stroke. Such grade of accuracy usually is sufficient for general workover purposes.
Method I: What is The Mud Pump Output Formula & What Is The Mud Pump Output Calculations For Duplex Pump?

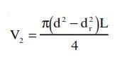
A schematic diagram of a duplex pump is shown in Figure 2. because the piston moves forward discharging fluid before it, the inlet port allows fluid to enter the chamber behind it. On the return the fluid behind the piston is discharged (i.e. on the rod side) while fluid on the opposite side is allowed in. The theoretical displacement on the forward stroke is:

Where,
- d = liner diameter
- L = stroke length on the return stroke

Where,
- dr = rod diameter
Taking account of the 2 cylinders, and the volumetric efficiency Ev the total displacement (in gallons) of one pump revolution is:

The pump output can be obtained by multiplying this by the pump speed in revolutions per minute. (In oilfield terms 1 complete pump revolution = 1 stroke, therefore pump speed is usually given in strokes per minute) e.g. a duplex pump operating at a speed of 20 spm means 80 cylinder volumes per minute. The pump output is given by:

where,
- Q = flow rate (gpm)
- d = liner diameter (in.)
- dr = rod diameter (in.)
- L = stroke length (in.)
- R = pump speed (spm)
These flow rates are readily available in manufacturers’ pump tables.
Method II (quick & easy): What is The Mud Pump Output Formula & What Is The Mud Pump Output Calculations For Duplex Pump?
Duplex Pump Output = 0.000162 × S × [2(D)^2 – d^2]
Where:
- Duplex pump output in bbl/stkD = liner diameter in inch
- S = stroke length in inch
- d = rod diameter in inch
Example on how to calculate mud pump output for duplex pump:
Determine the duplex pump output in bbl/stk at 100% and 85% efficiency
Liner diameter = 6 inch – Stroke length = 12 inch – Rod diameter = 2.0 in.
Duplex mud pump output @ 100 % efficiency
- Duplex mud pump output @ 100% = 0.000162 × 12 × [2 (6) 2 -22 ]
- Duplex mud pump output @ 100% = 0.13219 bbl/stk
Duplex mud pump output @ 90% efficiency
- Duplex mud pump output @ 90% = 0.132192 × 0.90 bbl/stk
- Duplex mud pump output @ 90% = 0.11236 bbl/stk
Method III Hydraulic Slide Rule and Pump Performance Charts
A Hydraulic Slide Rule is part of the standard inventory in the logging unit. This slide rule provides a quick pump output calculations. Using the slide rule, and obtaining information about the pumps, the output can be determined. For example
Pump Type: Duplex Stroke Length: 18 inches – Liner Size: 6 inches – Pump Speed: 100 spm
Pump Output = 695 gallons per minute